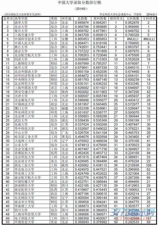
华东师范大学社会调查中心发布了《中国大学录取分数排行榜(2014年版)》,由华东师范大学邝春伟副教授领衔的研究团队已连续3年发布中国大学录取分数排行榜。邝春伟从事社会调查、统计分析教学研究工作20余年,曾牵头完成20余个大型社会调研项目,并利用独创的全息调查方法连续六次成功预测美国总统大选结果。《中国大学录取分数排行榜(2014年版)》完全基于中国各高校2005-2013年间在各省本科第一批录取分数数据制作完成。
该排行具有以下特点(1)采取数据映射的方法解决了各省录取分数的可比性问题;(2)避免了其他大学评价体系指标选择的主观性;(3)大学排名指数综合反映了大学录取分数的次序及差距。根据《中国大学录取分数排行榜(2014年版)》,清华大学、北京大学、复旦大学蝉联大学录取分数排行榜前三甲,上海交通大学、中国科学技术大学、中国人民大学、浙江大学、南京大学、北京航空航天大学、同济大学分别位居排行榜的第4至第10名。





